臨界流噴嘴的結構及工作原理
隨著科技不斷進步,產品不斷更新,熱工儀表也在不斷的更新換代。其中節流裝置的種類更是多到讓用戶眼花繚亂,用戶不知從何處下手選擇節流裝置的類型。今天西安華恒儀表廠家為廣大用戶帶來了臨界流噴嘴的結構及工作原理的文章。
我們已經知道,當氣體流經一個漸縮噴嘴時,如果保持噴嘴上游端壓力P0和溫度T0不變,使其下游壓力P2逐漸減小,則通過噴嘴的氣體質量流量qm將逐漸增加.當下游壓力P2下降到某一壓力PC時,通過噴嘴的質量流量將達到最大值qmax,此時噴嘴出口的流速已達到當地音速a.如果繼續降低下游端壓力P2,通過噴嘴的質量流量將不再增加,(如圖1所示),流速也保持音速不變.我們將噴嘴出口的流速達到音速的壓力PC稱為臨界壓力,PC/P0稱為臨界壓力比,此時通過噴嘴的流量稱為臨界流量.

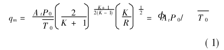
由圖1可以看出,只要使噴嘴出口的壓力P2小于PC,那么,即使P2有所變動,通過噴嘴的流量也將保持為臨界流不變.所以,我們可以利用臨界流噴嘴的這種“恒流”特性來標定氣體流量計.為了簡化問題,其流量公式可以從簡化的流體力學模型(理想氣體,一維,定常及等熵流)推導出來,然后加以系數修正求得實際流量.由連續性方程和理想氣體一維定常等熵流的假設可得,質量流量

式(1)中,<稱為臨界流函數,K為等熵指數,R為氣體常數;P0、T0分別為噴嘴入口處氣體滯止壓力和滯止溫度;At為噴嘴喉部面積.有時,質量流量公式也表示成
和*的差別如式(2)所示.它們相差R.RM為通用氣體常數(8.314kJ?kmol-1K-1),M為氣體分子量.實際上,K和R都為流體物性參數,所以,沒有必要將R分離出代表物性參數的臨界流函數.
式(1)表示流經噴嘴的質量流量僅與噴嘴入口處介質性質(K、R)及熱力學參數(P0、T0)有關,而與下游狀態無關.也即,當下游壓力P2下降到臨界壓力以下時,即使有所變動,通過噴嘴的質量流量也保持恒定.由氣體動力學可知,臨界壓力比PC/P0=(2/K+1)K/K+1,例如對于空氣,常溫下K=1.4,PC/P00.528.顯然,這樣的壓力降(也即壓力損失)對于某些系統是不能允許的.

為了減小臨界流噴嘴的壓力損失,近年來國內外較常用的結構是出口帶擴壓管的臨界流文丘利噴嘴.它可以使部分壓力得到恢復,從而減小臨界流噴嘴的壓力損失.目前較佳的結構已可以使噴嘴前后的壓力比P2/P0上升到0.9左右.下面以臨界流文丘利噴嘴為例來討論臨界流噴嘴.
相信通過以上臨界流噴嘴的結構及工作原理的全部容,能夠使大家有一個較為全面的認識,對選擇合適的臨界流噴嘴有所幫助。如有疑問,可以隨時聯系我們。
最新資訊文章
- 流速式流量計的安裝注意也需要一定講究
- 氣體渦街流量計在測量蒸汽爐煤氣時出現問題及解決方法
- 孔板流量計測量瓦斯抽放流量時的安裝要求及取壓方式
- 測蒸汽時應選孔板流量計還是渦街流量計?
- 差壓孔板流量計出現故障時 不妨試試以下方法
- 天然氣流量計管道調試故障原因分析
- 插入式流量計的原理與分類
- 如何消除污水流量計工頻干擾和零點漂移
- 孔板流量計:自動化設計廢鋼鐵行業轉行井噴
- 前后直管段太短時孔板流量計應該如何安裝
- 德爾塔巴流量計的安裝要求以及注意
- 高壓孔板流量計在冷凍水檢測中的注意要點及解決方案介紹
- 選型蒸汽流量計時所需要注意的問題介紹
- 導致孔板流量計誤差變大的原因分析
- 孔板流量計測量蒸汽產生誤差的原因分析及解決辦法
- 深入探究影響孔板流量計進行煤氣流量計量的因素
- 質量流量計和控制器引擎蓋下的主要組件詳細介紹
- 淺析階躍溫度及水流速度對金屬管浮子流量計的影響
- 選擇流量計時會犯的10個常見錯誤以及如何避免錯誤
- 運用標準計量器具校正金屬管浮子流量計
- 如何正確安裝蒸汽流量計
- 天燃氣流量計的功能介紹
- 蒸汽流量計運行工作前的準備和調試
- 限流孔板流量計作為流量測量元件的使用條件有哪些
- 環形孔板流量計在各介質中的應用











