平衡流量計基本原理
平衡流量計的基本原理是伯努利方程,關鍵技術是開孔的分布和精確的加工技術。采用A+FLOWTEK公司制造圖用數控機床進行精確開孔保證流體流動狀態達到動量、動能和熱焓等性能的平衡,這些性能是標準孔板或仿造產品所無法達到的。盡管一些仿制產品的外形相似,但由于開孔不精確,不符合制造加工精度要求將會造成測量精度的下降、壓損的提高和流出系數的降低。

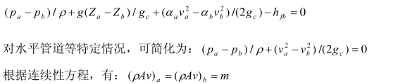
根據伯努利方程,流體在兩點a和b的能量保持不變,即:
因此,管道中流動截面的變化將引起壓頭Δp的改變,壓頭的改變可通過差壓檢測元件直接檢測,
因此,根據截面積的改變和檢測到的差壓改變,就可確定流過的流體流量。即:
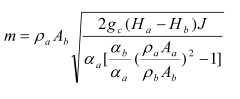
因此,孔板的通用流量方程:
對氣體,考慮其可壓縮性,有超壓縮因子Y:
其中,徑比β可根據面積比確定。
同樣,對平衡流量計,有流量方程:
超壓縮因子Y:
其中,
徑比β與上述計算相同。
根據能量守恒,總動能不變。有:
因此,對任何流體,伯努利方程可表示為:
對于平衡流量計,有動量和動能的修正因子可計算。但對標準孔板,則由于流體的渦流大,使動量和動能修正因子的計算無法進行,因此,不能實現動能和動量的平衡,使精度降低。圖1是標準孔板和平衡流量計的流路分布。

上一篇:孔板流量計的詳細說明 下一篇:均速管流量計防堵設計
最新資訊文章
- 流速式流量計的安裝注意也需要一定講究
- 氣體渦街流量計在測量蒸汽爐煤氣時出現問題及解決方法
- 孔板流量計測量瓦斯抽放流量時的安裝要求及取壓方式
- 測蒸汽時應選孔板流量計還是渦街流量計?
- 差壓孔板流量計出現故障時 不妨試試以下方法
- 天然氣流量計管道調試故障原因分析
- 插入式流量計的原理與分類
- 如何消除污水流量計工頻干擾和零點漂移
- 孔板流量計:自動化設計廢鋼鐵行業轉行井噴
- 前后直管段太短時孔板流量計應該如何安裝
- 德爾塔巴流量計的安裝要求以及注意
- 高壓孔板流量計在冷凍水檢測中的注意要點及解決方案介紹
- 選型蒸汽流量計時所需要注意的問題介紹
- 導致孔板流量計誤差變大的原因分析
- 孔板流量計測量蒸汽產生誤差的原因分析及解決辦法
- 深入探究影響孔板流量計進行煤氣流量計量的因素
- 質量流量計和控制器引擎蓋下的主要組件詳細介紹
- 淺析階躍溫度及水流速度對金屬管浮子流量計的影響
- 選擇流量計時會犯的10個常見錯誤以及如何避免錯誤
- 運用標準計量器具校正金屬管浮子流量計
- 如何正確安裝蒸汽流量計
- 天燃氣流量計的功能介紹
- 蒸汽流量計運行工作前的準備和調試
- 限流孔板流量計作為流量測量元件的使用條件有哪些
- 環形孔板流量計在各介質中的應用












