楔形流量計測量原理
西安華恒儀表制造有限公司是掌握流量計、壓力變送器、密度計、液位計核心技術的儀表生產廠家。主要生產流量計/壓力變送器/密度計/液位計OEM(代工),擁有自主的研發團隊和生產線。可以自主研發設計滿足各行業、各環境下的高精度流量計。今天和大家分享一下。

當充滿管道的流體流經楔形孔板時在楔形孔板上游側和下游側測到流體的差壓差壓變送器、溫度變送器、壓力變送器將差壓、溫度、壓力信號轉為為4~20mA.dc 電流信號輸出這些信號經智能流量運算器、溫度運算器、壓力運算器處理后其示值即為流量值、溫度值、壓力值。同時壓力值與設定值進行對比確定是否報警。
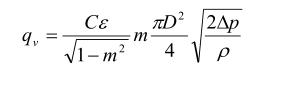
楔 形智 能 流量 計計 算公 式

式中 q v 體積流量m 3 /s
c流出系數
可膨脹性系數
m節流面積比 m= s 1 / 弓形面積
s 1 弓形流通面積m 2
D管道內徑m
△p差壓Pa
被測介質密度kg/m 3 。
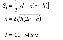
s 1 的計算

相信通過以上楔形流量計測量原理的全部容,能夠使大家有一個較為全面的認識,對選擇合適的液體流量計有所幫助。如有疑問,可以隨時聯系我們。
上一篇:楔形流量計的用途 下一篇:楔形流量計直管段要求
跟楔形流量計,齊齊哈爾,松原,四平相關的產品
最新資訊文章
- 流速式流量計的安裝注意也需要一定講究
- 氣體渦街流量計在測量蒸汽爐煤氣時出現問題及解決方法
- 孔板流量計測量瓦斯抽放流量時的安裝要求及取壓方式
- 測蒸汽時應選孔板流量計還是渦街流量計?
- 差壓孔板流量計出現故障時 不妨試試以下方法
- 天然氣流量計管道調試故障原因分析
- 插入式流量計的原理與分類
- 如何消除污水流量計工頻干擾和零點漂移
- 孔板流量計:自動化設計廢鋼鐵行業轉行井噴
- 前后直管段太短時孔板流量計應該如何安裝
- 德爾塔巴流量計的安裝要求以及注意
- 高壓孔板流量計在冷凍水檢測中的注意要點及解決方案介紹
- 選型蒸汽流量計時所需要注意的問題介紹
- 導致孔板流量計誤差變大的原因分析
- 孔板流量計測量蒸汽產生誤差的原因分析及解決辦法
- 深入探究影響孔板流量計進行煤氣流量計量的因素
- 質量流量計和控制器引擎蓋下的主要組件詳細介紹
- 淺析階躍溫度及水流速度對金屬管浮子流量計的影響
- 選擇流量計時會犯的10個常見錯誤以及如何避免錯誤
- 運用標準計量器具校正金屬管浮子流量計
- 如何正確安裝蒸汽流量計
- 天燃氣流量計的功能介紹
- 蒸汽流量計運行工作前的準備和調試
- 限流孔板流量計作為流量測量元件的使用條件有哪些
- 環形孔板流量計在各介質中的應用












